非晶合金因其优异的力学性能引起了凝聚态物理和材料科学的关注。物理老化诱发的结构弛豫严重损害了非晶合金的塑性,已然成为其工程应用的瓶颈。回春是指非晶合金由低能态向高能态转变的过程。高温变形是一种实现非晶合金回春的有效方式,被广泛应用于抑制非晶合金的老化行为并调控其热力学状态。然而,高温变形并不总是可以实现非晶合金回春,往往也会促使非晶合金进入能量更低的状态,甚至加剧其结构弛豫。因此,高温变形过程中非晶合金回春和老化之间的竞争行为,以及它们在变形过程中与自由体积之间的关联迫切需要深入研究。
来自西北工业大学的乔吉超教授团队、中国科学院力学研究所王云江研究员和香港城市大学杨勇教授等结合高温变形行为和动力学弛豫谱研究了稀土基非晶合金高温变形过程中老化与回春的竞争过程,阐明了高温变形实现非晶合金回春的物理本质。相关论文以题为“Aging and rejuvenation during high-temperature deformation in a metallic glass”发表在SCIENCE CHINA Physics, Mechanics & Astronomy上。
论文链接:
https://www.sciengine.com/SCPMA/doi/10.1007/s11433-022-1953-x
图1. a)不同预老化时间条件下非晶合金的单轴拉伸应力-应变曲线并采用自由体积理论进行拟合; b)拉伸过程中流动缺陷浓度演化; c) 单轴拉伸至不同应变时的应力松弛行为; d) 应力松弛过程中缺陷浓度演化。
图2. a) 双对数坐标下应力松弛行为呈双阶段幂律过程; b)幂律指数和交叉时间随拉伸应变的演化。
图3. a) 不同预老化时间条件下非晶合金的蠕变行为并采用自由体积理论进行拟合; b) 蠕变过程中流动缺陷浓度演化; c) 不同热力学历史下内耗随温度的演化。
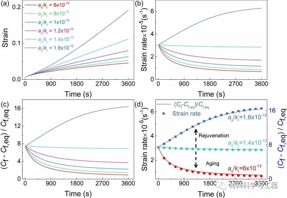
图4. 不同缺陷再生与湮灭竞争强度下蠕变过程中a)应变; b)应变速率; c)缺陷浓度的演化; d) 蠕变过程中应变速率与缺陷浓度之间的一一对应关系。
总之,作者在自由体积理论框架下对非晶合金高温变形过程中的老化和回春之间的竞争行为进行了探究。他们发现在变形的中热历史、老化和力学激励引起的结构无序耦合在一起,它们共同决定了非晶合金的变形机制和微观结构非均匀性程度。因此,在单轴拉伸和蠕变过程中,宏观变形和微观缺陷浓度之间存在较为明显的差异。此外,应力超调和粘弹性变形直接对应于非晶合金的回春行为,可以有效提高缺陷浓度并消除热历史。最终的稳态结构并不依赖于热力学历史,只取决于环境温度和是假的应变率/应力。
重要的是,作者报道了蠕变过程中缺陷浓度与应变速率呈现出一一对应的关联,证实流动缺陷的再生与湮灭之间的竞争是打开回春之门的关键。这些新发现不仅有助于增进对通过高温变形实现非晶合金回春的进一步认识,同时也将鼓励对非晶合金在电场/磁场等其他激励作用下老化与回春行为的研究。
免责声明:本网站所转载的文字、图片与视频资料版权归原创作者所有,如果涉及侵权,请第一时间联系本网删除。
相关文章
官方微信
《腐蚀与防护网电子期刊》征订启事
- 投稿联系:编辑部
- 电话:010-62316606-806
- 邮箱:fsfhzy666@163.com
- 腐蚀与防护网官方QQ群:140808414
点击排行
PPT新闻
“海洋金属”——钛合金在舰船的
点击数:8175
腐蚀与“海上丝绸之路”
点击数:6494








