导读:定制工程材料的性能以满足各种应用要求是材料科学中长期存在的挑战。本文展示了一种前所未有的策略,通过在严重变形的基体上通过激光表面退火制造梯度结构,在超弹性 NiTi 中实现高度可调的机械行为和显著增强的弹热效应。梯度结构 (GS) NiTi 片的特点是纳米晶芯夹在两个粗晶粒层之间,由于热渗透的自然退化,通过在厚度内进行渐进退火,实现了晶粒尺寸梯度。可定制的马氏体转变特征,从具有准线性应力-应变响应的均匀模式逐渐转变为具有平台型超弹性的成核和生长模式, 通过调整粒度梯度很容易实现。此外,与具有均匀微观结构的传统纳米晶和粗晶 NiTi 相比,GS NiTi 的弹热冷却能力和效率分别提高了 50% 和 130% 以上。
通过微结构设计制造具有可调和卓越性能的金属以满足日益增长的应用需求一直是材料科学家的不懈追求。迄今为止,人们一直致力于通过晶界强化、析出强化和固溶强化等传统策略来改善金属材料的力学性能。不幸的是,具有均匀微观结构的制造材料通常要么坚固要么具有延展性,并且可控性有限 。这是大多数实验室开发的产品没有广泛商业化用于工业应用的主要原因。最近,人类从大自然中汲取智慧,生产出各种具有渐变微观结构的仿生梯度结构 (GS) 材料,以实现优异的强度-延展性协同作用和增强的耐久性。然而,现有关于梯度结构的研究仅集中在传统金属材料上,制造 GS形状记忆合金的可行策略(SMA)仍然不可用。此外, SMA的跨尺度马氏体转变行为,尤其是微观结构梯度对机械响应和相关的弹性热效应的影响,尚不清楚。开拓这一未知领域对未来制造业和材料优化具有学术和现实意义。
作为最广泛使用的 SMA 之一,NiTi 具有良好的功能特性,因此在过去的几十年中引起了广泛的关注。NiTi SMA 可以被加工以达到超高强度和非常小的滞后,但通常会严重损失延展性和潜热 。NiTi 在航空航天工程、微电子学和生物医学等应用中始终需要高强度和小滞后和良好的抗疲劳性,通常仅存在于纳米晶体中。 还需要粗晶粒具有良好的延展性和较大的滞后(阻尼能力),以防止灾难性故障并改善大多数安全关键结构的抗震保护。此外,在新兴的弹热冷却技术中,特别是在当前能源危机和环境恶化的挑战下,非常需要巨大的潜热和低滞后耗散。
因此,实现可调谐的机械行为和卓越的弹热冷却性能是实际应用中的迫切需求,也是材料科学家面临的一项艰巨任务。通常采用基于冷加工和时效处理的晶粒尺寸工程来调整 NiTi的热机械响应,但缺乏同时考虑材料加工历史、退火温度和时间的原则,以克服所获得的有限可控性和可重复性微结构。此外,这种技术带来了均匀的微观结构,因此不可避免地使 NiTi 处于强度-延展性权衡和不令人满意的弹性热冷却性能 。
根据与晶粒尺寸密切相关的材料特性,合成 GS NiTi 应该是实现细晶粒和粗晶粒协同强化的首选。然而,如何为广泛的工业应用生产大规模 GS NiTi 仍然是一个悬而未决的问题。表面机械处理,包括磨损、磨削和轧制,已被广泛用于在传统金属材料中制造梯度结构。晶粒尺寸梯度是由表面处理过程中从顶面到内部的分级塑性变形引起的。 然而,由于众所周知的超弹性、高强度和巨大的阻尼能力,通过上述方法引入足够的塑性变形并相应地为超弹性 NiTi 带来所需的晶粒尺寸梯度仍然是一项艰巨的挑战。
在这项工作中,清华大学Gang Fang团队提出了一种尚未探索的设计策略,通过在严重冷轧基板上进行激光表面退火来制造大型 GS NiTi。由夹在两个粗晶粒层之间的纳米晶核组成的 GS NiTi 实现了高度可调的机械性能和显著改善的弹热效应。通过有意调整晶粒尺寸梯度,可以轻松实现从具有小滞后和均匀变形的准线性机械响应到具有大滞后和 Lüders 带的典型平台型超弹性的交叉。此外,弹性热量冷却能力 ( ΔT ad ) 和效率 ( COP mat) 的 GS NiTi 与均质纳米晶和粗晶的相比分别提高了 50% 和 130%。这种卓越的性能验证了所提出的策略在调节和优化SMA的热机械性能方面的良好工业潜力。相关研究成果以题“Toward tunable mechanical behavior and enhanced elastocaloric effect in NiTi alloy by gradient structure”发表再金属顶刊Acta Materialia上。
论文链接:
https://www.sciencedirect.com/science/article/pii/S1359645421009873
如此显著的性能突破归功于 GS NiTi 中细晶粒和粗晶粒之间的强协同强化,这是独立结构无法提供的。独特的强化机制被激活,即使在没有塑性变形的情况下,异质域之间的高度机械不相容性和马氏体变体所产生的明显应变梯度也是如此。这项工作为制造具有所需机械性能的块状 GS 材料开辟了一条新途径 并激发了各种铁弹性材料的微观结构优化,以产生巨大的热量效应。
图 1。材料和试样制备工艺的示意图。
图 2 显微硬度随深度的变化。插图显示了顶部~ 50 μm深度的梯度结构(GS)试样的纳米压痕载荷-深度曲线。
图 3 典型梯度结构(GS) NiTi试样的微观结构(即GS- ii)。(a)具有选区电子衍射图样的亮场透射电镜显微图,(b)不同深度对应的晶粒尺寸分布。
图 4 沿深度的平均晶粒尺寸和最高温度的变化。插图显示了与深度相关的纳米压痕载荷-深度曲线。
图 5。微观结构梯度对NiTi应力诱导马氏体转变的影响。(a) 等温拉伸应力-应变曲线。(b) 正向和反向相变过程中激光处理表面的纵向代表性全场 DIC 应变模式。
图 6。从梯度结构 (GS) 试样的两侧去除表面层的拉伸应力-应变曲线。图例表示两侧的层厚度减少。
图 7。冷轧 (CR) 和梯度结构 (GS) NiTi 的弹热效应。(a) 平均温度随时间变化的演变。(b) 冷却能力和效率。
图 8。梯度结构 (GS) 和均质纳米晶 (NC) NiTi 之间的热机械性能比较。(a) 单轴拉伸应力-应变曲线。(b) NC NiTi 正向和反向相变过程中的应变分布。(c) 绝热冷却温度下降和 (d) 能量耗散随施加应变的变化。(c) 和 (d) 中的插图分别显示了ΔT GS / ΔT NC和COP mat 的相应变化。
图 9。梯度结构 (GS) 和均匀粗晶 (CG) NiTi 之间的弹热冷却性能比较。
图 10。梯度结构 (GS) NiTi 侧表面的热成像。(a) 不同负载阶段的一系列放大局部温度曲线。剖面 A 中的红色虚线表示试样边缘。插图显示了顶部(激光处理)和侧表面的平均温度随时间的变化。(b) 绝热加载 (C) 和卸载 (G) 阶段横向表面的温度分布。黑色实线(1-2 和 3-4)横跨样品的整个厚度。
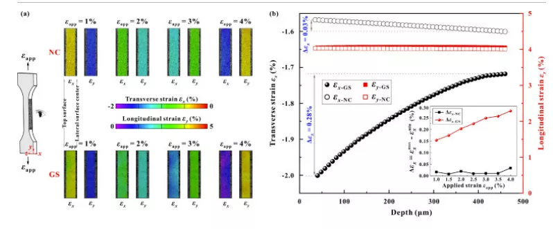
图 11。梯度结构 (GS) 和均质纳米晶 (NC) NiTi 之间侧面应变分布的比较。(a) 横向应变ε x(左)和纵向应变ε y(右)在不同施加应变ε app 下的局部应变分布。(b) ε app = 4% 时GS 和 NC NiTi 侧面的应变分布。插图展示了不同ε app 下的横向应变差 Δ ε x。
总之,我们通过构建梯度结构在 NiTi形状记忆合金中实现了高度可定制的机械性能和显着改善的弹性热冷却性能。梯度结构 (GS) NiTi 由夹在两个晶粒尺寸逐渐转变的软粗晶粒层压板之间的硬纳米晶芯组成,是在重冷轧后通过激光表面退火生产的。通过计算温度的一致分布和沿深度测量的晶粒尺寸证明的渐进退火解释了获得的梯度微结构。马氏体转变的渐变从具有均匀变形和近线性机械响应的均匀模式到具有 Lüders 带和转变应力平台的局部模式的行为随着微观结构梯度的减少而发生。此外,弹性热量冷却能力 ( ΔT ad ) 和效率 ( COP mat) 的 GS NiTi 相对于传统的均质纳米晶和粗晶 NiTi 分别可以提高 50% 和 130%。
免责声明:本网站所转载的文字、图片与视频资料版权归原创作者所有,如果涉及侵权,请第一时间联系本网删除。
相关文章
官方微信
《中国腐蚀与防护网电子期刊》征订启事
- 投稿联系:编辑部
- 电话:010-62316606-806
- 邮箱:fsfhzy666@163.com
- 中国腐蚀与防护网官方QQ群:140808414
点击排行
PPT新闻
“海洋金属”——钛合金在舰船的
点击数:7406
腐蚀与“海上丝绸之路”
点击数:5952















