在高压、高氧含量的极端环境中,金属的腐蚀速率将被提高两个数量级以上,目前缺乏较好的防护措施,因此制备适用于极端氧环境的功能防腐涂层充满挑战。水性防腐涂料由于绿色环保、含挥发性有机化合物(VOCs)少,对环境友好,对人体无害,因此受到越来越多的关注。然而,目前水性防腐涂料中残留的亲水基团和表面活性剂会形成极性通道,有利于腐蚀介质的渗透,导致涂层对腐蚀性介质的屏蔽能力较差,尤其是在高压氧腐蚀环境中。
基于上述研发需求,天津大学汪怀远教授团队通过经济高效的方法制备了功能化纳米材料改性分散石墨烯(Gr),可使石墨烯在水中稳定分散90天以上,解决了石墨烯水分散和兼容性问题。此外自主设计了一种旋涂取向法,可使功能化石墨烯N-CQDs@Gr在水性涂层中平行于金属基板表面排布。这种涂层结构不仅抑制了石墨烯因团聚和导电引发的金属微电偶腐蚀,而且最大化了石墨烯的阻隔性能。
图1 (a) N-CQDs、(b) N-CQDs@Gr粒子以及 (c) N-CQDs@Gr涂层的制备示意图。
图2 (a1, a2) WEP、(b1, b2) Gr/WEP、(c1, c2) N-CQDs/WEP和 (d1, d2) N-CQDs@Gr/WEP涂层的SEM截面图。
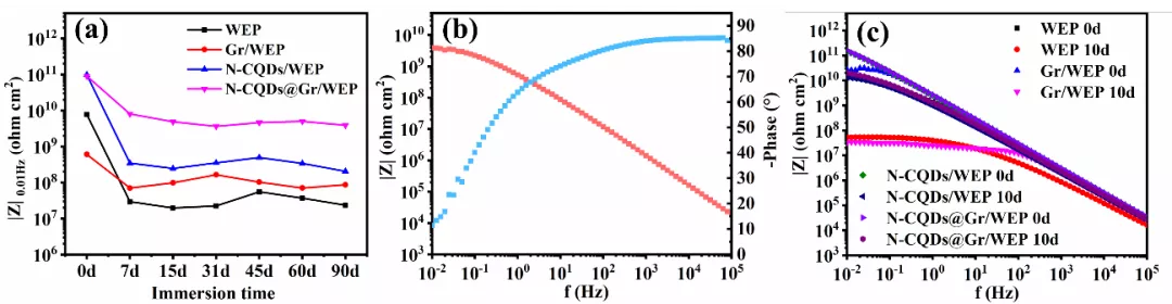
电化学测试表明,在3.5 wt.% NaCl溶液中浸泡90天后,水性功能涂层的阻抗值比WEP水性涂层高2个数量级左右,并且浸泡260天后水性功能涂层的阻抗值仍保持在109 ohm cm2 以上,尤其在3 MPa 纯O2和3.5 wt.% NaCl溶液耦合的苛刻环境中浸泡10天后,水性功能涂层的阻抗值仍保持在1010 ohm cm2 以上,比WEP水性涂层高将近3个数量级。研究揭示了功能纳米材料对涂层防腐能力提升的作用机理。此工作为水性涂料的高性能化和功能化发展提供了新思路、新材料及其制备方法。
图3 (a) 在3.5 wt.% NaCl溶液中,不同涂层的|Z| 0.01 Hz变化,(b) N-CQDs@Gr/WEP涂层在3.5 wt.% NaCl溶液中浸泡260天后EIS图,(c) 在3 MPa 纯O2和3.5 wt.% NaCl溶液耦合的苛刻环境中浸泡10天前后不同涂层的阻抗图。
图4 (a) WEP,(b) Gr/WEP,(c) N-CQDs/WEP,(d) N-CQDs@Gr/WEP涂层的保护机制,(d2) 是 (d1) 的局部放大图。
上述研究成果发表在国际权威期刊Chemical Engineering Journal上,论文的第一作者为天津大学化工学院硕士生王宵,通讯作者为天津大学化工学院汪怀远教授。
原文链接:
https://www.sciencedirect.com/science/article/pii/S138589472104732X
https://doi.org/10.1016/j.cej.2021.133156
免责声明:本网站所转载的文字、图片与视频资料版权归原创作者所有,如果涉及侵权,请第一时间联系本网删除。
相关文章
官方微信
《中国腐蚀与防护网电子期刊》征订启事
- 投稿联系:编辑部
- 电话:010-62316606-806
- 邮箱:fsfhzy666@163.com
- 中国腐蚀与防护网官方QQ群:140808414
点击排行
PPT新闻
“海洋金属”——钛合金在舰船的
点击数:7383
腐蚀与“海上丝绸之路”
点击数:5932







