零热膨胀(ZTE)合金,具有独特的尺寸稳定性、高的热导率和电导率等特点。然而,它们在热和应力下的实际应用受到其固有脆性的限制,因为零热膨胀(ZTE)和塑性通常是单相材料所独有的。此外,ZTE合金的性能对成分的变化非常敏感,常规的合成方法,如合金化或多相设计,来提高其热性能和力学性能往往不适用。
在此,北京科技大学林鲲、邢献然团队采用一步共晶反应方法,克服了上述挑战。相关论文以题为“Plastic and low-cost axial zero thermal expansion alloy by a natural dual-phase composite”发表在Nature Communications上。
论文链接:
https://www.nature.com/articles/s41467-021-25036-1
零热膨胀(ZTE)合金,因其在温度波动下的尺寸稳定性,在从机械手表到通信卫星的日常生活中,发挥着重要作用。然而,ZTE材料在本质上是罕见的。这种行为对于金属材料来说尤其罕见。只有少数的晶格、自旋和轨道之间的耦合,通过所谓的磁体积效应引起热膨胀系数的降低,这种效应在一些单相金属材料中已经报道过,如传统的英瓦合金(Fe0.64Ni0.36)和一些磁性金属间化合物(如Tb(Co,Fe)2,La(Fe,Si,Co)13)。
另一方面,这些ZTE化合物,大多是脆性的、强度低、塑性小、断裂韧性低且适用性较差。但应注意,广泛使用的英瓦合金具有塑性,但强度较低。另一种设计ZTE合金的方法是,混合热膨胀材料和热收缩材料(例如,La(Fe,Si)13/Cu和ZrW2O8/Al)。但这些人工复合材料,往往存在不理想的微观结构或界面结合薄弱等问题,导致其整体力学性能和热循环性能较差。
更重要的是,磁体积效应具有很高的成分敏感性,高温合成过程中轻微的界面传质可能会抑制或消除ZTE特性。几十年来,寻找具有良好强度-塑性性能的新型ZTE合金,已成为普遍存在的挑战。
此文中,研究者采取了一步策略在二元体系中通过亚共晶或过共晶反应来设计塑料和低成本ZTE合金。铁是地球上最丰富的元素之一;其常规相α-Fe具有较高的塑性和正热膨胀(PTE)。有趣的是,在R-Fe (R =稀土)二元相图上,在磁性有序驱动下,Fe与R2Fe17形成共晶体系,R2Fe17是典型的负热膨胀(NTE)金属间化合物。这表明R2Fe17相,在任何温度下都能与Fe平衡共存,而不丧失其自身的NTE特性。此外,通过调节二元体系中的化学成分,可以很容易地控制相分数和微观结构,这是提高热膨胀和力学性能的关键因素。
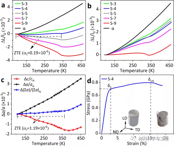
结果表明,在纯铁中加入4%的Ho原子,可以设计和制备轴向ZTE合金(Ho0.04Fe0.96, α1 = 0.19×10?6 K?1,100~335K),获得中等强度-塑性组合。研究者进一步表明,目前的双相合金在热循环条件下具有很高的稳定性,这在同时具有ZTE和塑性的合金材料中是罕见的,这种性价比高的合金具有巨大的应用潜力。
图1 相和晶体结构。
图2 ZTE合金的显微组织。
图3 热膨胀和力学性能。
图4 S-4合金的实时原位中子衍射研究。
图5 S-4合金的TEM研究。
图6 力学和热膨胀性能总结。
在此,研究者采用共晶反应的方法,克服了金属材料ZTE与塑性之间的矛盾。通过这种方法,研究者成功地设计并制备了一种低成本、热循环性能稳定、强度-塑性适中的铁基ZTE双相合金Ho0.04Fe0.96。具有半共格界面的层状双相组织,不仅调节了Fe基ZTE合金的热膨胀行为,而且大大提高了合金的力学性能和热稳定性。目前双相合金的综合性能,可以有效地避免材料性能不平衡造成的“桶效应”,具有广阔的应用前景。研究者期望使用共晶反应策略,可以开发出更多高性能的ZTE合金。
免责声明:本网站所转载的文字、图片与视频资料版权归原创作者所有,如果涉及侵权,请第一时间联系本网删除。
相关文章
官方微信
《中国腐蚀与防护网电子期刊》征订启事
- 投稿联系:编辑部
- 电话:010-62316606-806
- 邮箱:fsfhzy666@163.com
- 中国腐蚀与防护网官方QQ群:140808414
点击排行
PPT新闻
“海洋金属”——钛合金在舰船的
点击数:7130
腐蚀与“海上丝绸之路”
点击数:5741










