导读:本文设计并制备出一种高温稳定性好、耐CMAS腐蚀的高熵二硅酸盐(4RE0.25)2Si2O7 (RE=Y,Yb,Er和Sc)陶瓷材料。采用溶胶-凝胶法制备了高熵(4RE0.25)2Si2O7粉体,并将少量Y-Si-Al-O玻璃粉体加入该粉体中,再通过无压烧结制备出块体高熵 (4RE0.25)2Si2O7陶瓷材料。在该陶瓷材料中,少量Y-Si-Al-O玻璃能够均匀填充在(4RE0.25)2Si2O7晶粒的晶界处。与RE2Si2O7 (RE = Y和Er)相比,该陶瓷材料在1600℃保温15 h晶粒尺寸几乎没有变化,具有良好的高温稳定性。此外,在熔融低熔点氧化物CaO-MgO-Al2O3-SiO2 (CMAS)腐蚀过程中,在晶界处的Y-Si-Al-O玻璃相能起到阻挡层的作用,抑制Ca2+扩散,缓解熔融CMAS对(4RE0.25)2Si2O7晶粒的侵蚀,从而使 (4RE0.25)2Si2O7陶瓷材料表现出较好的抗熔融CMAS腐蚀能力。在1500℃,腐蚀48 h后,(4RE0.25)2Si2O7陶瓷材料的腐蚀层厚度仅为73 μm。
SiC基陶瓷复合材料由于具有重量轻、比强度和模量高、抗高温氧化和蠕变等优异性能,被认为是高推重比航空发动机高温部件的候选材料。然而,在高流速水蒸气的燃烧环境中,SiC陶瓷会与高温水汽生成单硅酸Si(OH)4气体,使高温部件表面不断地被冲刷和侵蚀,这就极大地降低了陶瓷部件的使用寿命和稳定性。因此,需要在SiC基复合材料表面制备一层环境障涂层提高耐高温腐蚀能力。稀土硅酸盐陶瓷以其良好的相稳定性和抗高温水汽腐蚀能力,成为了目前SiC基复合材料表面环境障涂层的热门材料。但是,传统的稀土硅酸盐陶瓷在长时间高温环境中,结构稳定性差,容易产生裂纹。与此同时,在沙漠或火山附近,沙子或者火山灰常常会被吸入飞机发动机内,而该类物质熔点较低,会在叶片等热结构部件表面熔融,从而不断与表面稀土硅酸盐涂层发生反应而导致涂层的失效。因此,有必要设计出一种具有高温稳定、耐熔融CMAS腐蚀的稀土硅酸盐陶瓷涂层材料,以满足高温陶瓷部件在极端环境下稳定使用的要求。
最近,沈阳工业大学材料学院王占杰团队设计并制备出一种高温稳定性好、耐CMAS腐蚀的高熵二硅酸盐(4RE0.25)2Si2O7 (RE=Y,Yb,Er和Sc)陶瓷材料。首先,采用溶胶-凝胶法制备出高熵二硅酸盐(4RE0.25)2Si2O7粉体,然后将少量Y-Si-Al-O玻璃粉体加入该粉体中,再通过无压烧结制备出块体高熵 (4RE0.25)2Si2O7陶瓷材料。在高熵 (4RE0.25)2Si2O7陶瓷材料结构中,少量Y-Si-Al-O玻璃相处于晶界处,形成玻璃层将高熵(4RE0.25)2Si2O7陶瓷晶粒包裹其中。一方面,基于高熵陶瓷相和结构稳定的特点,使得该高熵陶瓷材料能够保持良好的高温稳定性。与RE2Si2O7 (RE = Y和Er)相比,该陶瓷材料在1600℃保温15 h后,其相结构和晶粒尺寸几乎没有变化,表现出良好的高温稳定性。另一方面,在熔融CMAS腐蚀过程中,熔盐中的Ca2+离子必须穿过Y-Si-Al-O玻璃层,才能侵蚀(4RE0.25)2Si2O7晶粒。而包裹在晶粒表面的Y-Si-Al-O玻璃层能起到阻挡层的作用,抑制Ca2+扩散,缓解熔融CMAS对(4RE0.25)2Si2O7晶粒的侵蚀,从而提高了 (4RE0.25)2Si2O7陶瓷材料的抗熔融CMAS腐蚀能力。结果表明:在1500℃,腐蚀48 h后,该高熵(4RE0.25)2Si2O7陶瓷材料的腐蚀层厚度仅为73 μm。相关研究结果以题为“Preparation and corrosion resistance of high-entropy disilicate (Y0.25Yb0.25Er0.25Sc0.25)2Si2O7 ceramics”发表在国际腐蚀顶刊Corrosion Science上。材料学院硕士研究生王旭为第一作者,王超副教授和吴玉胜教授为本文的共同通讯作者。
论文链接:
https://doi.org/10.1016/j.corsci.2021.109786
图1为陶瓷材料在1600℃下保温5、10和15 h的XRD谱图。
(a) (4RE0.25)2Si2O7;(b) Y2Si2O7;(c) Er2Si2O7
图2为陶瓷材料在1600℃下保温5、10和15 h的SEM图像。
(a)、(d)和(g) (4RE0.25)2Si2O7;(b)、(e)和(h) Y2Si2O7;(c)、(f)和(i) Er2Si2O7
图3 (a)为高熵(4RE0.25)2Si2O7陶瓷材料的高倍背散射SEM图像;(b)为(a)图中各相的EDS图谱;(c)为(a)图中虚线区域的元素RE映射
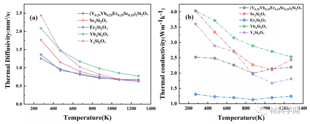
图4为高熵 (4RE0.25)2Si2O7陶瓷和RE2Si2O7 (RE=Y, Yb, Er和Sc)陶瓷的热扩散系数和热导率。
(a)热扩散系数;(b)热导率
图5为高熵(4RE0.25)2Si2O7陶瓷材料在1300°C熔融CMAS中腐蚀后宏/微观图像。
(a)2 h;(b) 12 h;(c) 24h;(d) 48 h
图6 (a)为高熵陶瓷材料在1300℃熔融CMAS腐蚀48 h后的高倍截面SEM图像;(b) 为CMAS分别与高熵陶瓷和玻璃相反应产物的XRD谱图;(c)为图(a)中各相EDS图谱。
图7为高熵(4RE0.25)2Si2O7陶瓷材料耐CMAS腐蚀的机理示意图。
图8 (a)为高熵陶瓷材料在1500℃熔融CMAS腐蚀48 h后的截面SEM图像;(b)为图(a)中各相EDS图谱。
免责声明:本网站所转载的文字、图片与视频资料版权归原创作者所有,如果涉及侵权,请第一时间联系本网删除。
相关文章
官方微信
《中国腐蚀与防护网电子期刊》征订启事
- 投稿联系:编辑部
- 电话:010-62316606-806
- 邮箱:fsfhzy666@163.com
- 中国腐蚀与防护网官方QQ群:140808414
点击排行
PPT新闻
“海洋金属”——钛合金在舰船的
点击数:7130
腐蚀与“海上丝绸之路”
点击数:5741












