导读:在低温下,大多数金属显示出降低的延展性和冲击韧性。本文首次报道了一种成分稀薄,细晶粒的Fe-30Mn-0.11C奥氏体钢,打破了这一规则。随着温度的降低,强度、伸长率和夏比冲击韧性都得到了提高。在液氮温度下获得的夏比冲击能为453 J,约为常规低温奥氏体钢的四到五倍。高韧性归因于锰和碳奥氏体稳定元素,以及晶粒尺寸减小至近微米级。在这种条件下,位错滑移和变形孪生是主要的变形机制,而α-马氏体和ε-马氏体相变的脆化得到了抑制。这样可以减少局部应力和应变集中,从而延缓了裂纹成核并延长了加工硬化。该合金价格低廉,可以通过常规生产工艺进行加工,使其适合工业中的低温应用。
低温金属和合金在工业中得到广泛使用,涵盖了广泛的领域,包括液化天然气(LNG)储罐,破冰船,超低温超导性和外太空探索。对于此类应用,需要高低温冲击韧性,以防止在冲击载荷期间发生灾难性故障。这里的一个普遍挑战是,金属和合金的冲击韧性几乎总是随着温度的降低而降低。这样,常规的金属和合金已为低温应用而开发,包括钢、钛和铝,在低温下具有相对较低的冲击韧性,从而限制了它们在这样的工作温度下的应用。目前已经探索了该问题的解决方案,但这些合金的断裂韧性仍仅限于中等值(<100 J)。此外,为了在这些合金中实现所需的性能,需要超纯熔炼技术和复杂的热处理,这导致了高生产成本。因此,开发出在低温下韧性保持不变甚至增加的廉价、工业上实用的合金仍然是材料科学的一个梦想。
实际上,最近已经报道了具有超细晶粒结构的铁素体钢的韧性与温度的逆相关性,其中,提高的韧性归因于在对准的晶体切割面上的裂纹分支导致的细鳞片状分层。然而,韧性的反温度依赖性仅保持在-50°C的适度低温下,相应的最大冲击能量约为300J。在较低的温度下,韧性以通常的方式急剧降低。最近,还报道了某些高和中熵合金(HEAs / MEAs)的冲击韧性随温度降低而增加,例如CrMnFeCoNi,其中已获得了约400 J的极高的低温冲击韧性。尽管具有如此高的低温冲击韧性,但由于与所需数量的昂贵合金元素(尤其是Co)相关的高成本以及大规模生产的复杂性,此类合金可能仅在有限的工业应用中使用。由于与HEA和MEA中使用的大量合金相关的可回收性方面的困难,此类合金的可持续性也是一个挑战。
但是,从关于HEA的研究中可以吸取两个教训,这一点很重要。它们是:(i)通过降低温度从室温(RT)的平面滑动位错活动过渡到较低温度下的机械纳米孪晶变形,可以实现超高冲击能量,并且(ii)实现倒韧性-温度关系,两者的强度和延展性应该同时随测试温度增加。
受这些研究的启发,我们在此报告的是细晶粒(平均晶粒尺寸为5.6 ?m)Fe-30Mn-0.11C奥氏体钢的数据。成分的选择基于先前报道的Fe30Mn钢的结果,并添加了少量的C作为额外的奥氏体稳定元素。结合适当的晶粒细化,所得到的钢在低温变形时能够抵抗ε马氏体的形成。结果表明,这种钢既可以满足上述两个标准,又可以随着低温条件下温度的降低而显示出韧性的异常增加,从而在液氮温度下产生超过450 J的超高夏比冲击能。此外,该钢仅由Cantor HEA的两个元素以及少量的碳组成,并且仅通过常规的冷轧和退火工艺生产。简单的合金组成,低成本和常规的加工路线能够为该合金提供广泛的低温应用。相关研究成果以题“Cryogenic toughness in a low-cost austenitic steel”发表在commuincations materials上。
论文链接: https://www.nature.com/articles/s43246-021-00149-8?


图1:细晶粒和粗晶粒样品在RT和LNT时的微观结构和拉伸性能。在RT和LNT的单轴拉伸试验下,细晶粒和粗晶粒样品的工程应力-应变曲线。从RT到LNT的变形温度降低,细晶粒和粗晶晶粒样品的屈服强度,极限抗拉强度和延展性(断裂应变)会同时增加。b加工硬化率和真实应力是真实应变的函数,表明在遵循Considère准则的延性失效之前,大量的加工硬化。c细粒样品中完全再结晶的微观结构的反极图(IPF)图。d细晶粒样品中的晶粒尺寸分布。e粗晶粒样品中完全再结晶的微观结构的反极图(IPF)图。f粗晶粒样品中的粒度分布。

图2:在RT和LNT拉伸测试后,细晶粒和粗晶粒样品的变形机理。

图3:在RT和LNT冲击试验后,距断口表面约1000 ??m处的样品的微观结构。
微观结构特征和力学结果均表明,本钢满足了以上提出的与温度-韧性成反比关系的两个标准。因此,进行了夏比冲击试验以验证这一假设。在测试过程中,没有一个样品分成两个独立的部分,表明它们具有出色的韧性。实际上,我们发现,对于细粒样品,随着测试温度从RT降低到LNT,冲击韧性提高了36%。此外,细颗粒样品在LNT处获得了超过450 J的非凡低温韧性,据作者所知,这代表了目前所有已报道的金属和合金的新记录。有趣的是,粗粒样品的冲击韧性遵循通常预期的韧性-温度依赖性,随着温度从RT降低到LNT,韧性降低约38%。

图4:在LNT进行夏比冲击试验后,使用微细断层扫描法对细颗粒和粗颗粒样品进行3D断口形貌分析。a在LNT上进行冲击测试后,细晶粒样品的断裂表面形成了一个大颈,沿夏比缺口的方向看到了主裂纹,而与夏比缺口的方向垂直的是从属裂纹。b在LNT上进行冲击测试后,在粗晶粒样品中沿夏比缺口的方向出现一个单一的深裂纹,在该处看不到颈缩且断裂表面平坦。

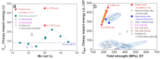
图5:与各种低温金属的比较。LNT上不同锰钢的夏比冲击韧性的比较;水平的蓝线显示的是GB 24510-2009中厚度≤30 mm的钢板中9%Ni的标准。b LNT处的夏比冲击能与RT屈服强度的关系。b中引用的样品的晶粒尺寸均在7.5–50 ?m的范围内。
总而言之,本研究证明了获得具有极高低温韧性的高锰,低碳钢的可能性。通过将这些奥氏体稳定元素与适当的细晶粒尺寸相结合,已经实现了韧性的逆温度依赖性,从而在细晶粒的Fe-30Mn-0.11C钢中实现了> 450 J的低温韧性。与具有高低温韧性的高熵合金相比,锰的低价格和使用常规工艺路线的工业批量生产的适宜性相结合,使这种具有优异韧性的细晶粒Fe-Mn-C合金成为一种非常经济的钢。广泛的低温应用。
免责声明:本网站所转载的文字、图片与视频资料版权归原创作者所有,如果涉及侵权,请第一时间联系本网删除。
官方微信
《中国腐蚀与防护网电子期刊》征订启事
- 投稿联系:编辑部
- 电话:010-62316606-806
- 邮箱:fsfhzy666@163.com
- 中国腐蚀与防护网官方QQ群:140808414



