高熵合金(HEAs)基于新型合金设计,由多个主要元素组成,各元素为相等或接近等摩尔比,通常表现出高延展性和良好的强度。对于典型的面心立方(FCC)高熵合金,如CrMnFeCoNi (Cantor alloy),其室温延展性为40-45%。对同一合金,当试验温度从室温降至77 K时,其抗拉强度和极限抗拉强度增加了约80%。在较低的温度下,位错运动由于内能的降低而受到阻碍,从而使材料的强度增加,而且延展性也显著提高。延性的改善与不同的变形机制的激活有关。尽管有对HEA低温性能的研究,但在超低温度下对HEAs的位错密度的定量评估还没有报道,低温变形过程中各机制的协同作用仍不明确。
香港城市大学王循理、北京科技大学吕昭平等人组成的研究团队,应用中子衍射法测定了在15K条件下CrMnFeCoNiHEA大应变(约60%)后位错密度高达约1016m-2,强度达到约2.5GPa。位错密度的增加证实了变形途径,包括一系列不同变形机制的激活。相关论文以题为“Extremely high dislocation density and deformation pathway of CrMnFeCoNi high entropy alloy at ultralow temperature”发表在Scripta Materialia。
论文链接:https://doi.org/10.1016/j.scriptamat.2020.07.004

本研究通过电弧熔炼制备等原子的CrMnFeCoNi HEA样品,合金组织为约5μm的等轴晶。在15K的低温下进行了不同程度变形,本文主要选择26.0%和52.6%的应变进行讨论。
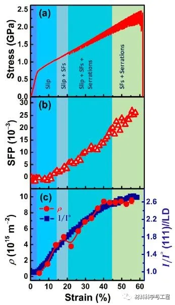
研究人员结合应力-应变曲线、层错几率(SFP)和平均位错密度,确定了CrMnFeCoNi HEA在15K时的变形路径,首先为弹性变形区,此时SFP为零;从合金屈服开始进入第二个区域,塑性变形始于位错滑移,SFP仍可忽略不计,当应变达到14%后,SFP开始增加,随着位错的滑移,SFs也促进变形,应力-应变曲线从应变21%开始呈锯齿状变形;从45%应变到断裂变形主要以SFs为主,并有大量锯齿。变形增加的同时位错密度显著增加,合金强度增大。在15K时高密度位错(约1016m-2)导致CrMnFeCoNiHEA的超高强度(约2.5GPa)。

图1 CMWP拟合了CrMnFeCoNi HEA在15K时的中子衍射图

图2 中子衍射数据在三个应变水平的峰展宽分析
研究发现,在14%的应变后,SFs被激活,促进了合金的持续硬化。由于超低温位错动力学及其与SFs和孪晶的相互作用,在经过21%的变形后形成了锯齿。锯齿状变形的开始伴随着位错密度的轻微下降。通过显微组织观察证明了多种变形机制的激活与协同作用,即位错滑移、SFs、孪晶和锯齿,可引起连续硬化和均匀延伸。

图3 通过实验确定位错密度和变形路径

图4 15K时样品的TEM分析
综上所述,本文通过原位中子衍射研究,确定了CrMnFeCoNi HEA在15K时的平均位错密度。错位密度在15k时,经45%应变后达到了约1016m-2的极限,此后位错密度饱和。得到了位错密度与(111)//LD织构之间的对应关系,可以作为位错运动的评价指标。从不同变形机制的激活和相互作用的顺序,定义了CrMnFeCoNi HEA在15 K超低温度下的超高强度延性组合的变形路径,为后续高熵合金超低温性能的研究提供了理论基础。
免责声明:本网站所转载的文字、图片与视频资料版权归原创作者所有,如果涉及侵权,请第一时间联系本网删除。
官方微信
《中国腐蚀与防护网电子期刊》征订启事
- 投稿联系:编辑部
- 电话:010-62316606-806
- 邮箱:fsfhzy666@163.com
- 中国腐蚀与防护网官方QQ群:140808414



